大六壬入门基础篇之五行与方位
大六壬入门基础篇之五行与方位
大六壬入门基础篇之五行与方位
一、五行
五行是五个相互影响的符号,它们是金、水、木、火、土。
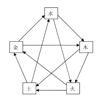
它们之间有相生、相克的关系(生 和克可理解为支持、转化和克制、限制)
相生关系为:金生水,水生木,木生火,火生土, 土生金;
相克关系为:金克木,木克土,土克水,水克火,火克金。

天干与五行的关系:每个天干符号对应着五行中的一个符号,可以称之为天干的五行属 性。天干所属五行如下:甲乙属木,丙丁属火,戊己属土,庚辛属金,壬癸属水。
地支与五行的关系:每个地支符号对应着五行中的一个符号,可以称之为地支的五行属 性。地支所属五行如下:寅卯属木,巳午属火,申酉属金,亥子属水,辰戌丑未属土。
二、方位
方位一般有五个符号,表示空间位置:南、北、东、西、中。
五个方位符号在书面上的位置与地图学上的规定不同,地图学上规定是,上北,下南,左西,右东,中中;而这里的规定 是,上南,下北,左东,右西,中中,如下图:
声明:部分内容来于网络,如有侵权,请联系我们删除!以上内容,并不代表易德轩观点。
« 上一篇文章:
大六壬入门基础篇之地...
下一篇文章:
奇门遁甲预测:如何提... »







